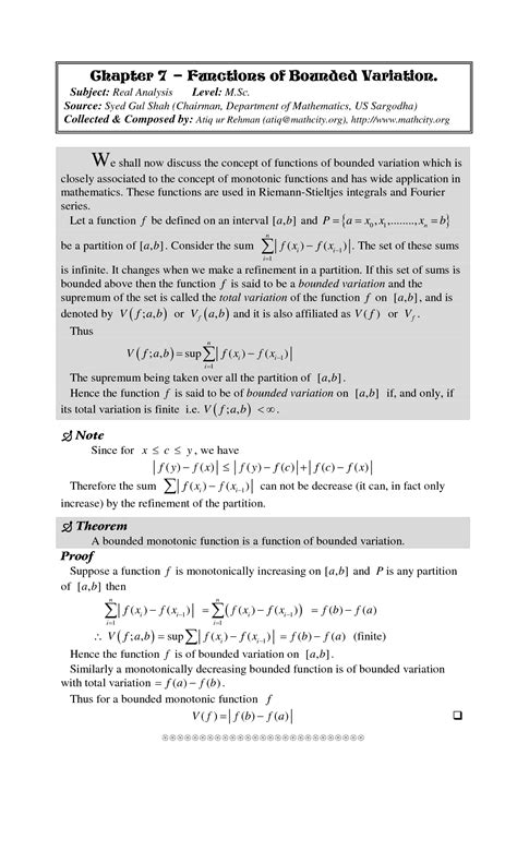
无法使用此链接。检查链接是否以 "http://" 或 "https://" 开头,然后重试。
无法处理此搜索。请尝试其他图像或关键字。
试用视觉搜索
使用图像搜索、识别对象和文本、翻译或解决问题
将一个或多个图像拖到此处,
上传图像
或
打开相机
你提供的照片可能用于改善必应图片处理服务。
隐私政策
|
使用条款
将图像放置到任意位置以开始搜索
要使用可视化搜索,请在浏览器中启用相机
English
全部
搜索
图片
灵感
创建
集合
视频
地图
资讯
更多
购物
航班
旅游
笔记本
自动播放所有 GIF
在这里更改自动播放及其他图像设置
自动播放所有 GIF
拨动开关以打开
自动播放 GIF
图片尺寸
全部
小
中
大
特大
至少... *
自定义宽度
x
自定义高度
像素
请为宽度和高度输入一个数字
颜色
全部
仅限颜色
黑白
类型
全部
照片
剪贴画
素描
动画 GIF
透明
版式
全部
方形
横版
高
人物
全部
仅脸部
半身像
日期
全部
过去 24 小时
过去一周
过去一个月
去年
授权
全部
所有创作共用
公共领域
免费分享和使用
在商业上免费分享和使用
免费修改、分享和使用
在商业上免费修改、分享和使用
详细了解
清除筛选条件
安全搜索:
中等
严格
中等(默认)
关闭
筛选器
768×1024
scribd.com
Functions of Bounded Variatio…
244×141
MathWorld
Bounded Variation -- from Wolfram MathWorld
1150×724
MathWorld
Bounded Variation -- from Wolfram MathWorld
1024×768
chegg.com
Solved Lct fig be functions of bounded variation on DGA e | Chegg.com
1200×1696
studocu.com
Examples of bounded variati…
790×644
researchgate.net
The properties of bounded variation functions. | Downl…
1275×2100
studypool.com
SOLUTION: Functions of b…
1275×2100
studypool.com
SOLUTION: Functions of b…
1275×2100
studypool.com
SOLUTION: Functions of b…
768×1024
scribd.com
Functions of Bounded Vari…
32×32
math.stackexchange.com
real analysis - Does different…
321×124
Mathwords
Mathwords: Bounded Function
641×299
math.stackexchange.com
real analysis - difference between Sobolev space and bounded variation ...
960×720
isaac-fate.github.io
2.1. Functions of Bounded Variation — Mathematical An…
960×720
isaac-fate.github.io
2.1. Functions of Bounded Variation — Mathematical An…
672×372
mathcounterexamples.net
A continuous function which is not of bounded variation | Math ...
850×1203
ResearchGate
(PDF) On functions of bo…
850×186
researchgate.net
Illustration of the bounded variation function in (31) and the ...
850×872
researchgate.net
3.: A function of bounded variati…
702×743
ResearchGate
Bounded Variation Nor…
850×1134
researchgate.net
(PDF) Integral Representatio…
3024×711
chegg.com
Solved 16. Suppose that f is of bounded variation on | Chegg.com
2539×1448
chegg.com
Solved 1. Suppose that f is of bounded variation on | Chegg.com
960×720
isaac-fate.github.io
2.2. Total Variation — Mathematical Analysis
960×720
isaac-fate.github.io
2.2. Total Variation — Mathematical Analysis
631×689
researchgate.net
Left: Bounded variation regularization. Right: S…
640×495
slideshare.net
Bounded var | PDF
283×1019
researchgate.net
The bounded variation regul…
574×371
vedantu.com
What are some examples of bounded functions?
546×134
ResearchGate
An example of a signal of bounded variation on the interval [a,b] where ...
768×1024
scribd.com
Functions of Bounded Varia…
300×85
statisticshowto.com
Bounded Function & Unbounded: Definition, Examples - Statistics How To
636×1209
researchgate.net
Maximum variation samp…
768×994
studylib.net
Bounded Variation & Qu…
2280×966
mathlandscape.com
有界変動関数の定義と例といくつかの大事な性質 | 数学の景色
某些结果已被隐藏,因为你可能无法访问这些结果。
显示无法访问的结果
查看更多图片
为你推荐的项目
广告
报告不当内容
请选择下列任一选项。
无关
低俗内容
成人
儿童性侵犯
反馈