无法使用此链接。检查链接是否以 "http://" 或 "https://" 开头,然后重试。
无法处理此搜索。请尝试其他图像或关键字。
试用视觉搜索
使用图像搜索、识别对象和文本、翻译或解决问题
将一个或多个图像拖到此处,
上传图像
或
打开相机
你提供的照片可能用于改善必应图片处理服务。
隐私政策
|
使用条款
将图像放置到任意位置以开始搜索
要使用可视化搜索,请在浏览器中启用相机
English
全部
搜索
图片
灵感
创建
集合
视频
地图
资讯
更多
购物
航班
旅游
笔记本
自动播放所有 GIF
在这里更改自动播放及其他图像设置
自动播放所有 GIF
拨动开关以打开
自动播放 GIF
图片尺寸
全部
小
中
大
特大
至少... *
自定义宽度
x
自定义高度
像素
请为宽度和高度输入一个数字
颜色
全部
仅限颜色
黑白
类型
全部
照片
剪贴画
素描
动画 GIF
透明
版式
全部
方形
横版
高
人物
全部
仅脸部
半身像
日期
全部
过去 24 小时
过去一周
过去一个月
去年
授权
全部
所有创作共用
公共领域
免费分享和使用
在商业上免费分享和使用
免费修改、分享和使用
在商业上免费修改、分享和使用
详细了解
清除筛选条件
安全搜索:
中等
严格
中等(默认)
关闭
筛选器
768×1024
scribd.com
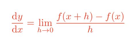
Derivatives of Exponential Fun…
768×1024
scribd.com
Lesson 10 Derivative of Exp…
768×747
statology.org
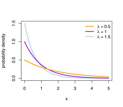
An Introduction to the Exponential Distribution
750×527
byjus.com
Exponential Distribution (Definition, Formula, Mean & Variance ...
574×331
Stack Exchange
self study - Derivation of memorylessness of Exponential distribution ...
1042×521
cuemath.com
Exponential Distribution Formula- Learn Formula for Exponential ...
4:42
calcworkshop.com
Exponential Distribution
768×669
predictivehacks.com
Applications of Exponential Distributio…
800×600
studiousguy.com
10 Exponential Distribution Examples in Real Life – StudiousGuy
458×230
statlect.com
Exponential distribution | Properties, proofs, exercises
1024×461
wallstreetmojo.com
Exponential Distribution - Meaning, Formula, Calculation
1200×960
codingninjas.com
Exponential Distribution - Coding Ninjas
1024×768
SlideServe
PPT - Exponential Distribution . PowerPoint Presentation, free downloa…
1024×768
SlideServe
PPT - Exponential Distribution . PowerPoint Presentation, free …
857×218
fity.club
Mean Exponential Distribution
756×567
studylib.net
Exponential Distribution
265×240
testbook.com
Exponential Distribution: Definitio…
1024×551
Chegg
Solved Probability - Exponential Distribution Please | Chegg.com
508×186
eee.poriyaan.in
Exponential distribution - Formula, Solved Example Problems | Random ...
577×384
eee.poriyaan.in
Exponential distribution - Formula, Solved Example Problems | Ran…
2048×1536
Stack Exchange
probability theory - Exponential family distribution and sufficient ...
1024×768
SlideServe
PPT - The Exponential Distribution PowerPoint Presentation, free ...
524×114
shiksha.com
Exponential Distribution: Overview, Questions, Easy Tricks, Rules ...
250×159
education.ti.com
The Exponential Derivative
1280×720
calcworkshop.com
Derivative of Exponential Function
1344×1612
github.io
Lesson 35 Exponential Distri…
818×730
Stack Exchange
What is the intuition behind the exponential distributio…
552×266
Online Math Learning
Calculus - Exponential Derivatives (examples, solutions, videos)
322×186
graphicmaths.com
GraphicMaths - Derivative of the exponential function
835×374
ubcmath.github.io
Exponential Distribution — Introduction to Mathematical Modelling
574×187
graphicmaths.com
GraphicMaths - Derivative of the exponential function
464×190
graphicmaths.com
GraphicMaths - Derivative of the exponential function
482×151
graphicmaths.com
GraphicMaths - Derivative of the exponential function
2048×1536
slideshare.net
Derivatives Of Exponential Functions | PPTX
1200×535
medium.com
Exponential Distribution — Intuition, Derivation, and Applications | by ...
某些结果已被隐藏,因为你可能无法访问这些结果。
显示无法访问的结果
查看更多图片
为你推荐的项目
广告
报告不当内容
请选择下列任一选项。
无关
低俗内容
成人
儿童性侵犯
反馈