无法使用此链接。检查链接是否以 "http://" 或 "https://" 开头,然后重试。
无法处理此搜索。请尝试其他图像或关键字。
试用视觉搜索
使用图像搜索、识别对象和文本、翻译或解决问题
将一个或多个图像拖到此处,
上传图像
或
打开相机
你提供的照片可能用于改善必应图片处理服务。
隐私政策
|
使用条款
将图像放置到任意位置以开始搜索
要使用可视化搜索,请在浏览器中启用相机
English
全部
搜索
图片
灵感
创建
集合
视频
地图
资讯
更多
购物
航班
旅游
笔记本
自动播放所有 GIF
在这里更改自动播放及其他图像设置
自动播放所有 GIF
拨动开关以打开
自动播放 GIF
图片尺寸
全部
小
中
大
特大
至少... *
自定义宽度
x
自定义高度
像素
请为宽度和高度输入一个数字
颜色
全部
仅限颜色
黑白
类型
全部
照片
剪贴画
素描
动画 GIF
透明
版式
全部
方形
横版
高
人物
全部
仅脸部
半身像
日期
全部
过去 24 小时
过去一周
过去一个月
去年
授权
全部
所有创作共用
公共领域
免费分享和使用
在商业上免费分享和使用
免费修改、分享和使用
在商业上免费修改、分享和使用
详细了解
清除筛选条件
安全搜索:
中等
严格
中等(默认)
关闭
筛选器
1024×624
numerade.com
Consider the normalized n th-order homogeneous linear differential ...
850×884
researchgate.net
Normalized equation modeling. (A) Different for…
886×527
mathematica.stackexchange.com
numerical integration - Solving this system of differential equation ...
850×1088
researchgate.net
Schematic diagram of solving the nonlinear …
854×550
Stack Exchange
What type of differential equation system is this ? And how to solve ...
1113×1440
slidestalk.com
Neural Ordinary Differential Equations
1113×1440
slidestalk.com
Neural Ordinary Differential Equations
1113×1440
slidestalk.com
Neural Ordinary Differential Equations
1113×1440
slidestalk.com
Neural Ordinary Differential Equations
1024×768
SlideServe
PPT - SYSTEM OF ORDINARY DIFFERENTIAL EQUATIONS PowerPoint Presentation ...
1024×768
SlideServe
PPT - SYSTEM OF ORDINARY DIFFERENTIAL EQUATIONS Powe…
850×1100
researchgate.net
(PDF) Neural Ordinary Differenti…
636×486
numericalmathematics.com
Differential Equations
674×440
semanticscholar.org
Figure 11 from Neural Ordinary Differential Equation Models of Circuits ...
1102×868
semanticscholar.org
Figure 7 from Estimation of ordinary differential equation models with ...
850×707
researchgate.net
Numerical solution of differential system (1) with initial condition ...
320×320
researchgate.net
The final solution of the differential equations syste…
735×414
researchgate.net
Schematic illustration of the structure of the system of ordinary ...
850×1100
researchgate.net
(PDF) Neural Ordinary Different…
704×624
WordPress.com
A too brief introduction to systems of differential equati…
850×258
researchgate.net
Fig. S1. The solutions to the system of ordinary differential equations ...
1024×768
SlideServe
PPT - SYSTEMS OF DIFFERENTIAL EQUATIONS PowerPoint Presentation, fre…
748×532
researchgate.net
Numerical solutions to the ordinary differential system with no ...
748×532
researchgate.net
Numerical solutions to the ordinary differential system with no ...
363×272
ResearchGate
System of ordinary differential equations constructed, using the ...
320×320
ResearchGate
Schematic interpretation of the system of differential e…
320×320
researchgate.net
Numerical solutions of the system of differential equat…
656×400
researchgate.net
Numerical solutions of the system of differential equations ...
656×400
researchgate.net
Numerical solutions of the system of differential equations ...
656×400
researchgate.net
Numerical solutions of the system of differential equations ...
1280×720
worksheetshq.com
Method Of Solving Linear Differential Equations
406×254
researchgate.net
How do I solve a system of ordinary nonlinear differential equations ...
2048×1280
slideshare.net
[DL輪読会]Neural Ordinary Differential Equations | PPTX
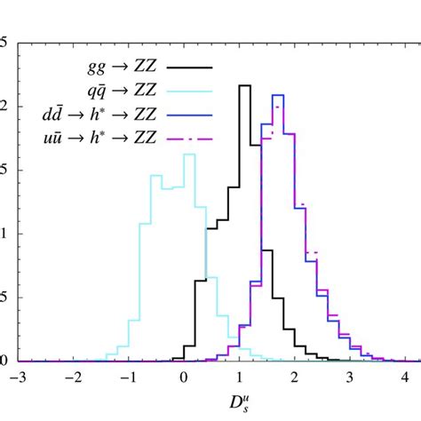
640×640
researchgate.net
Normalised differential distributions with respect t…
640×640
researchgate.net
The ordinary differential equations model of cell sig…
某些结果已被隐藏,因为你可能无法访问这些结果。
显示无法访问的结果
报告不当内容
请选择下列任一选项。
无关
低俗内容
成人
儿童性侵犯
反馈