你提供的照片可能用于改善必应图片处理服务。
隐私政策
|
使用条款
无法使用此链接。检查链接是否以 "http://" 或 "https://" 开头,然后重试。
无法处理此搜索。请尝试其他图像或关键字。
试用视觉搜索
使用图像搜索、识别对象和文本、翻译或解决问题
将一个或多个图像拖到此处,
上传图像
或
打开相机
将图像放到此处以开始搜索
要使用可视化搜索,请在浏览器中启用相机
English
全部
搜索
图片
灵感
创建
集合
视频
地图
资讯
更多
购物
航班
旅游
笔记本
自动播放所有 GIF
在这里更改自动播放及其他图像设置
自动播放所有 GIF
拨动开关以打开
自动播放 GIF
图片尺寸
全部
小
中
大
特大
至少... *
自定义宽度
x
自定义高度
像素
请为宽度和高度输入一个数字
颜色
全部
仅限颜色
黑白
类型
全部
照片
剪贴画
素描
动画 GIF
透明
版式
全部
方形
横版
高
人物
全部
仅脸部
半身像
日期
全部
过去 24 小时
过去一周
过去一个月
去年
授权
全部
所有创作共用
公共领域
免费分享和使用
在商业上免费分享和使用
免费修改、分享和使用
在商业上免费修改、分享和使用
详细了解
清除筛选条件
安全搜索:
中等
严格
中等(默认)
关闭
筛选器
512×512
chemicalaid.com
MnO2 Oxidation Number
341×242
general.chemistrysteps.com
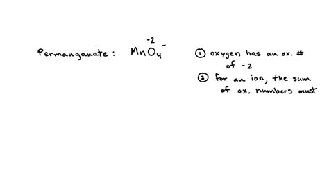
MnO4- Oxidation Numbers - Chemistry Steps
1545×1763
general.chemistrysteps.com
MnO4- Oxidation Numbers - Che…
700×292
chegg.com
Solved Find the oxidation number of a. Mn in MnO42− | Chegg.com
700×233
chegg.com
Solved Assign oxidation numbers. Determine the oxidation | Chegg.com
224×420
numerade.com
3. MnO4^- Oxidation num…
1024×3787
askfilo.com
Mn2 O3 MnO2 Changes in oxi…
530×700
chegg.com
Solved Assign oxidation numbe…
1024×768
slideserve.com
PPT - OXIDATION NUMBERS PowerPoint Presentation, free download - ID:3312324
700×264
chegg.com
Solved (a) Compare the oxidation number of manganese in MnO | Chegg.com
1024×1827
askfilo.com
Oxidation number of Mn …
480×298
askfilo.com
Oxidation number of Mn in K2 MnO4 and MnSO4 are respectively: | Filo
525×700
chegg.com
Solved 7. What is the oxidation number …
768×1024
scribd.com
Find The Oxidation Number or State F…
566×372
kunduz.com
[ANSWERED] What is the oxidation number of Mn in MnO4 6 7 7 6 - Kunduz
1024×576
numerade.com
SOLVED: What is the oxidation number of Mn in MnO4- ion?
768×431
mychemblog.com
OXIDATION OF ALCOHOL BY MANGANESE DIOXIDE (MnO2) – My chemistry blog
1024×1574
askfilo.com
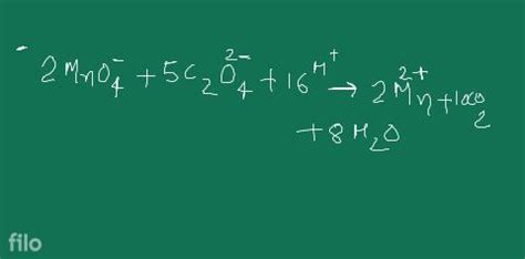
18. Balance the following redo…
700×302
chegg.com
Solved For the compound MnO2, what is the oxidation number | Chegg.com
850×583
researchgate.net
(a) Average manganese oxidation number (AMON) for δ-MnO2, δ-MnO…
640×640
researchgate.net
(a) Average manganese oxidation number (AM…
1024×3596
askfilo.com
2. The oxidation number of Mn …
700×288
chegg.com
Solved Determine the oxidation number of manganese (Mn) in | Chegg.com
1024×1319
askfilo.com
4. The Oxidation number of Mn is …
700×645
chegg.com
Solved Question 7 Determine the oxidation n…
700×671
chegg.com
Solved Question 7 Determine the oxidation …
1226×470
chegg.com
Solved Give the oxidation number of manganese in the | Chegg.com
480×237
askfilo.com
2. The oxidation number of Mn is maximum in ((a) MnO2 , (b) K2 MnO4 , (c)..
700×647
chegg.com
Solved What is the oxidation number of Mn in MnO3−2 …
602×509
echemi.com
What is the oxidation number of Mn in MnO2? - ECHEMI
700×435
chegg.com
Solved What is the oxidation number of Mn in MnO4 (aq)? O +1 | Chegg.com
700×480
chegg.com
Solved Manganese (Mn) has an oxidation number of +6 in: | Chegg.com
638×144
blogspot.com
MnO2 oxidation reaction with example - PG.CHEMEASY
536×432
blogspot.com
MnO2 oxidation reaction with example - PG.CHEMEASY
592×223
blogspot.com
MnO2 oxidation reaction with example - PG.CHEMEASY
某些结果已被隐藏,因为你可能无法访问这些结果。
显示无法访问的结果
报告不当内容
请选择下列任一选项。
无关
低俗内容
成人
儿童性侵犯
反馈