All
Search
Images
Videos
Maps
News
More
Shopping
Flights
Travel
Notebook
Report an inappropriate content
Please select one of the options below.
Not Relevant
Offensive
Adult
Child Sexual Abuse
Top suggestions for Cast Math Practice
Math
Test
Algebra
Practice
Maths
Quiz
Math
Studying
Math
Exams
Math
Questions
Prep
Math
Fractions
Practice
Math
Testing
Free Math
Tests
GRE
Math Practice
Basic Math
Test
Teas
Math Practice
Online
Math Practice
Math
Fact Practice
9th Grade
Math Practice
Math
Assessment
HESI
Math
Length
All
Short (less than 5 minutes)
Medium (5-20 minutes)
Long (more than 20 minutes)
Date
All
Past 24 hours
Past week
Past month
Past year
Resolution
All
Lower than 360p
360p or higher
480p or higher
720p or higher
1080p or higher
Source
All
Dailymotion
Vimeo
Metacafe
Hulu
VEVO
Myspace
MTV
CBS
Fox
CNN
MSN
Price
All
Free
Paid
Clear filters
SafeSearch:
Moderate
Strict
Moderate (default)
Off
Filter
Math
Test
Algebra
Practice
Maths
Quiz
Math
Studying
Math
Exams
Math
Questions
Prep
Math
Fractions
Practice
Math
Testing
Free Math
Tests
GRE
Math Practice
Basic Math
Test
Teas
Math Practice
Online
Math Practice
Math
Fact Practice
9th Grade
Math Practice
Math
Assessment
HESI
Math
CAST Test Prep Course (350 Practice Questions) | Mometrix
Dec 18, 2024
mometrix.com
0:07
63K views · 65 reactions | Can you solve this math quiz #reels #matht
…
11.7K views
3 weeks ago
Facebook
Maths Animation
146K views · 1.9K reactions | 홈혼홏홃홐홏홊 || TRY THIS ‼️ #Mi
…
50.6K views
1 month ago
Facebook
Daily Quizzes
Using the Cast Rule to Identify Quadrants & the Unit Circle | Alge
…
Jun 15, 2021
study.com
0:55
💕
159 views
1 month ago
YouTube
MIDDLE MATH AT HOME
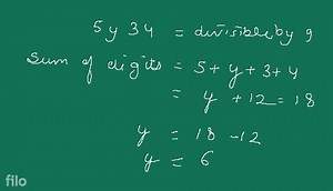
2-5-y-34-is-enactly-divesible-by-9-where-yis-a-digit-hhe-3335303739
…
5.2K views
Dec 24, 2022
askfilo.com
Go Math Lesson 1.4
Sep 27, 2014
YouTube
Amy Mulyca
Consider the following sequence. Which of the figures shown bel... |
…
5.9K views
Aug 17, 2023
askfilo.com
Exam Cast Diagram Grade 10
100.9K views
Jun 6, 2023
YouTube
Kevinmathscience
CAST Practice Test - Test Prep Reading, Mathematical Usage, Gra
…
8 months ago
YouTube
Neural Computation: Markus Meister at TEDxCaltech
20.1K views
Feb 27, 2013
YouTube
TEDx Talks
【中四數學Tips】F.4 Math Trigonometry(I)-CAST|Beyond M
…
19.2K views
Aug 26, 2020
YouTube
Beyond Math
8:49
Trigonometry Basic -- CAST Rule
51.5K views
Aug 27, 2014
YouTube
Anil Kumar
6:36
UDL: Principles and Practice
587.4K views
Mar 17, 2010
YouTube
National Center on Universal Design for Learning
4:05
Cast Diagram Grade 10
267.1K views
Apr 20, 2021
YouTube
Kevinmathscience
8:03
CAST Rule of Trigonometry
102.8K views
May 31, 2012
YouTube
IMA Videos
2:34
1993: Cool Runnings Trailer HQ
Trailer
1.9M views
Nov 5, 2008
YouTube
OnlyPreviews
3:06
HM Cast procedure (Long leg)
16.1K views
Mar 4, 2021
YouTube
New Cast Industry Co., Ltd.
3:57
Free CAST Exam Practice Test
29.1K views
Mar 21, 2018
YouTube
Mometrix Test Preparation
1:28
Petrie Cast FAQ with Kai
64.9K views
Mar 26, 2021
YouTube
Scottish Rite for Children
4:06
HOW TO CAST a BAITCASTER! ( BAITCASTING REEL SETUP )
125.4K views
May 25, 2021
YouTube
Googan Lab
2:39
Fracture Clinic: Plaster Casts
49.6K views
Aug 4, 2021
YouTube
Gloucestershire Hospitals NHS Foundation Trust
18:03
Trigonometry CAST Diagrams and Solving Equations
110.7K views
Nov 14, 2018
YouTube
Starfish Maths
4:53
CAST/ASTC Rule In Maths | Math Dot Com
16.7K views
Jul 4, 2019
YouTube
Math Dot Com
14:17
An Introduction to Solving Trigonometric Equations
135.2K views
Oct 30, 2019
YouTube
corbettmaths
12:02
Grade 6, Unit 2, Lesson 4 Practice Problems
13.5K views
Oct 9, 2019
YouTube
Matt Richards
4:38
The CAST diagram - a quick explanation
86.1K views
Jul 31, 2018
YouTube
Maths-Boost
15:35
Casting Class, Lower Extremity: Foot/Ankle
136.8K views
May 25, 2021
YouTube
Utah UofuOrtho
22:36
CAST Test Study Guide - Mechanical Concepts Review
40.4K views
Nov 4, 2015
YouTube
Mometrix Test Preparation
13:52
St Math 4-7 Big Seed
107.2K views
Apr 9, 2018
YouTube
Anthony Chau
See more videos
More like this
Feedback